Bewerteter Warenbestand

  • Aktualisiert

Damit eine Position aus einem Wareneingang für die Berechnung des bewerteten Warenbestandes berücksichtigt wird, muss ein Einkaufspreis gesetzt sein. Wenn du deine Lieferantenbestellungen über Pickware abwickelst, ist dies üblicherweise der Fall.

Solltest du deine Bestände über freie Wareneingänge erhöhen, weil du beispielsweise deine Lieferantenbestellungen extern durchführst, muss für die entsprechenden Positionen manuell ein Einkaufspreis gesetzt werden. Öffne hierzu den betreffenden Wareneingang unter Lagerhaltung Wareneingänge und klicke doppelt in die Spalte Einzelpreis (netto), hinterlege dort den Preis und speichere deine Eingabe über den Haken rechts.

Eine Übersicht aller erstellen bewerteten Warenbestände findest du in deiner Pickware Admin unter Lagerhaltung Bewerteter Warenbestand. Um einen neuen bewerteten Warenbestand zu erstellen, gehe wie folgt vor:

  1. Klicke oben rechts auf Bewerteten Warenbestand erstellen.
  2. Wähle Stichtag, Bewertungsmethode und Lager aus und gib optional einen Kommentar ein. Klicke dann auf Vorschau erstellen.
    Bewerteter Warenbestand.png
  3. Du siehst nun eine Vorschau deines bewerteten Warenbestandes und kannst diesen an dieser Stelle entweder als CSV-Datei exportieren oder speichern. Du kannst den Export aber auch zu einem späteren Zeitpunkt durchführen, indem du den entsprechenden Eintrag in der Übersicht der bewerteten Warenbestände aufrufst.

Bitte beachte, dass für einen Zeitraum immer nur ein bewerteter Warenbestand erstellt werden kann. Du kannst bereits erstellte bewertete Warenbestände allerdings bei Bedarf über die Übersicht auch wieder löschen. Wenn der Zeitraum des bewerteten Warenbestandes auch den aktuellen Tag umfasst, kann immer nur eine Vorschau erstellt werden. Erst für vollendete Tage kann der bewertete Warenbestand auch gespeichert werden.

Wenn du den erstellten Bericht aufrufst, kannst du dir in der Spalte Bestand über das LKW-Symbol für jedes Produkt die Bewertungsgrundlage ansehen. Bewertungsgrundlage sind alle Wareneingänge und Lieferantenbestellungen, in denen das Produkt zum jeweiligen Preis enthalten war.

Bewertungsgrundlage_Bew_WB.png

Welche Bewertungsmethoden werden unterstützt?

Die Bewertung kann mit LIFO, FIFO oder mit dem gewogenen Durchschnitt der Periode erfolgen. Wenn du einen neuen bewerteten Warenbestand erstellst, ist jeweils die Bewertungsmethode ausgewählt, die du beim letzten Mal verwendet hast. Alle Bewertungsmethoden haben gemeinsam, dass zum Ende eines Berichtszeitraums der vorhandene Bestand inklusive Bewertung in die nächste Berichtsperiode übertragen und dort als Wareneingang verbucht wird. Da alle Wareneingänge einen Einkaufspreis benötigen, greift Pickware ERP hierzu auf die durchschnittlichen Bewertungen der Vorperiode zurück.

Grundsätzlich erfolgt die Bewertung aus dem aktuell im Lager vorhandenen Bestand und allen Wareneingängen einer Bewertungsperiode. Der Übertrag der Vorperiode (falls vorhanden) zählt ebenfalls als Wareneingang. In der ersten Bewertungsperiode werden entsprechend alle Wareneingänge vor dem Stichtag berücksichtigt.

Bewerteter_Warenbestand.png

Abhängig von der Bewertungsmethode ergibt sich die Bewertung folgendermaßen:

LIFO

Hierbei werden die neuen, also zuletzt eingegangenen Waren (= last in) zuerst wieder aus dem Lager entnommen (= first out). Die älteren Wareneingänge verbleiben somit im Lager und werden für die Berechnung des bewerteten Warenbestandes so lange aufsummiert, bis der aktuelle Lagerbestand erreicht ist.

FIFO

Dabei werden die alten, also zuerst eingegangenen Waren (= first in) zuerst wieder aus dem Lager entnommen (= first out). Die neueren Wareneingänge verbleiben somit im Lager und werden so lange aufsummiert, bis der aktuelle Lagerbestand erreicht.

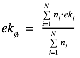
Gewogener Durchschnitt

Der aktuelle Bestand wird mit dem gewogenen Durchschnittspreis der Periode multipliziert. Der Preis ergibt sich wie folgt:

Durchschnittlicher_EK.png

Berechnungsbeispiel

Zur Verdeutlichung findest du hier ein konkretes Beispiel. 

Buchungsdatum

Buchungsart

Menge

Einkaufspreis

04.07.2022

Initialer Bestand

100

5 €

01.09.2022

Wareneingang

50

4 €

15.11.2022

Wareneingang

70

6 €

31.12.2022

Endbestand 2022

80

 

01.01.2023

Übertrag 2022

80

 

05.02.2023

Wareneingang

20

7 €

10.05.2023

Wareneingang

30

6,5 €

01.10.2023

Wareneingang

100

3 €

31.12.2023

Endbestand 2023

110

 

01.01.2024

Übertrag 2023

110

 

Je nach dem, welches Verfahren gewählt wurde, ergibt sich die Berechnung wie folgt:

LIFO

Endbestand 2022

80*5 € = 400 €

Übertrag 2022 

80 Stück à 5 €

Endbestand 2023 

80*5 € + 20*7 € + 10*6,50 € = 605 €

Übertrag 2023

110 Stück à 5,50 €

 

FIFO

Endbestand 2022

70*6 € + 10*4 = 460 €

Übertrag 2022 

80 Stück à 5,75 €

Endbestand 2023 

100*3 € + 10*6,50 € = 365 €

Übertrag 2023

110 Stück à 3,32 €

 

Gewogener Durchschnitt

Endbestand 2022

(100*5 € + 50*4 € + 70*6 €)
/ 220*80 = 407,27€

Übertrag 2022 

80 Stück à 5,09 €

Endbestand 2023 

(80*5,09 € + 20*7 € + 30*6,50 € + 100*3 €) / 230*110 = 498,44 €

Übertrag 2023

110 Stück à 4,53 €